G2019_74HC165_PIO増設
2024年12月14日
10:13
G2019_lpc812_74HC165_pio_exp_report
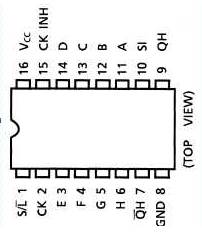
8ビットシフトレジスター TC74HC165AP: 半導体 秋月電子通商-電子部品・ネット通販






メインプロジェクトの修正を説明します

uint8_t load_pin;
uint32_t old_exp_inp_data;
uint8_t i;
SPI_SOMI_pin = 6;
load_pin = 7;
SPI_CLK_pin = 8;
Exp_inp_data_len = 16; // 2連結なので 16 Bit です
pin_set_input(SPI_SOMI_pin);
pin_set_output(SPI_CLK_pin);
pin_set_output(load_pin);

set_74HC165(load_pin);
old_exp_inp_data = Exp_inp_data; // 前回値保存
UART_msg_dec("inp",Exp_inp_data,"\r\n");

// 変化判定
set_74HC165(load_pin);
if(old_exp_inp_data != Exp_inp_data)
{
UART_puts("0-7 (");
for(i=0;i<8;i++) UART_msg_dec("",exp_pin_inp(i)," ");
UART_puts(") ");
UART_puts("8-15 (");
for(i=0;i<8;i++) UART_msg_dec("",exp_pin_inp(i+8)," ");
UART_puts(") \r\n");
old_exp_inp_data = Exp_inp_data;
}



速度を測定します

set_74HC165(load_pin);

